✨Bài Tập Toán Học Cao Cấp - Tập 3 - Chuỗi Và Phương Trình Vi Phân
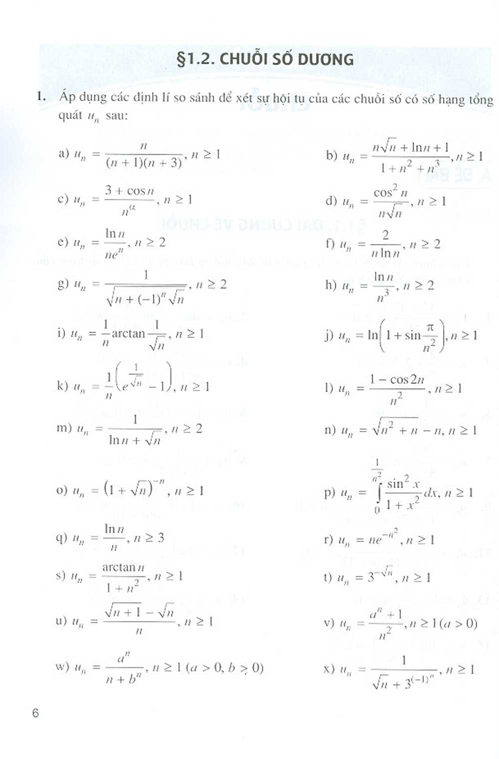
Mua tại Shopee
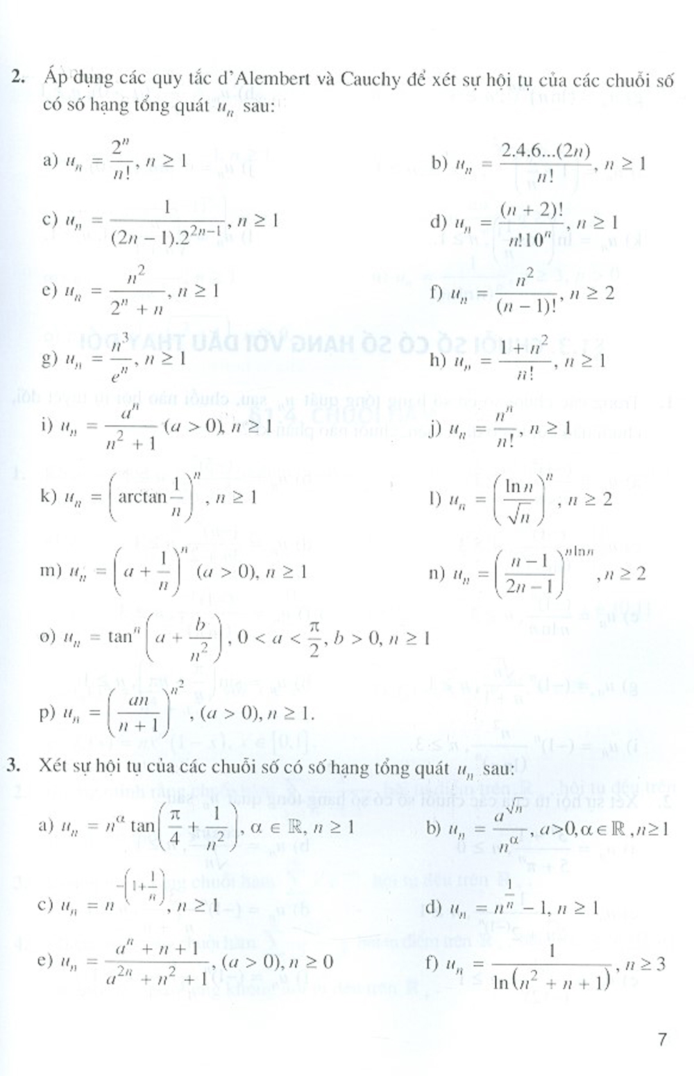
Mua tại Tiki
Mua tại Lazada
Mua tại TiktokNội dung gồm: Chương I: Tập hợp và ánh xạ. Chương II: Cấu trúc đại số - số phức - đa thức và phân thức hữu tỉ. Chương III: Ma trận - định thức - hệ phương trình tuyến tính Chương IV: Hình học giải tích Chương V: Không gian vectơ - không gian euclid Chương VI: Ánh xạ tuyến tính Chương VII: Trị riêng và vectơ riêng của toán tử tuyến tính Chương VIII: Dạng toàn phương
Mua tại Shopee
Mua tại Tiki
Mua tại Lazada
Mua tại TiktokGiáo trình Hoá học Vô cơ này đã được viết và giảng dạy từ những năm 50 của thế kỷ trước cho sinh viên khoa Hoá học trường Đại học Tổng hợp Hà Nội trước
Lời nói đầu Giáo trình Hoá học Vô cơ này đã được viết và giảng dạy từ những năm 50 của thế kỷ trước cho sinh viên khoa Hoá học trường Đại học Tổng hợp
Sách - Combo 3 cuốn - Bài Tập Hóa Học Vô Cơ Gồm 3 cuốn : Bài Tập Hóa Học Vô Cơ THÔNG TIN CHI TIẾT Công ty phát hành : NXB Giáo Dục Tác
Sách - Combo Hóa Học Hữu Cơ tập 1 + 2 Tác giả: Nhiều tác giả Nhà xuất bản: Nhà Xuất Bản Giáo Dục Việt Nam Nhà phát hành : NXB giáo dục Việt Nam
Thông tin sản phẩm Tên sách: Đại cương Lịch sử Việt Nam (toàn tập) Tác giả: Trương Hữu Quýnh, Đinh Xuân Lâm, Lê Mậu Hãn (đồng chủ biên), Nguyễn Cảnh Minh, Phan Đại Doãn, Nguyễn
Sách - Combo 3 cuốn Lịch sử thế giới ( Cổ Đại - Cận Đại - Hiện Đại ) Nội dung và thông tin chi tiết 1 : Lịch sử thế giới cổ đại Cuốn
Sách - Combo 3 cuốn hóa học vô cơ cơ bản - tập 1 + 2 + 3 (DN) Gồm 3 cuốn : Hóa Học Vô cơ Cơ bản Tập 1 - Lí thuyết Đại
Combo: Sách Toán Học Cao Cấp - Bài Tập Toán Học Cao Cấp - Tập 2 (Giải Tích) Tác giả: Nhiều tác giả Nhà xuất bản: Nhà xuất bản Giáo dục Việt Nam Năm xuất
Sách - Hóa Học Hữu Cơ Tập 1 Tác giả: Nhiều tác giả Nhà xuất bảntt NXB Giáo Dục Việt Nam Ngày xuất bản 2025 Số trangttt 756 Kích thướctt 19 x 27 cm Loại
Tên sách: Bài tập Hóa học vô cơ, Quyển II, Lý thuyết đại cương về hoá học (Trả lời câu hỏi và giải bài tính) Tác giả: Hoàng Nhâm, Hoàng Nhuận Số trang: 600 Khổ
Sách - Hóa Học Hữu Cơ Tập 2 Tác giả: Đặng Như Tại - Ngô Thị Thuận Nhà xuất bản: Nhà xuất bản Giáo dục Việt Nam Năm xuất bản: 2025 Số trang: 714 Kích
Tên đề tài: Sách - Combo Bài Tập Toán Cao Cấp Tập 1 + Tập 2 + Tập 3 Tác giả: Nhiều tác giả Nhà xuất bản: Nhà Xuất Bản Giáo Dục Việt Nam Đơn
Tên đề tài: Sách - Combo Toán Học Cao Cấp Tập 1 + 2 + 3 Tác giả: Nhiều tác giả Nhà xuất bản: Nhà Xuất Bản Giáo Dục Việt Nam Đơn vị phát hành:
Nội dung gồm có: Chương I. Khái quát văn học trung đại Việt Nam Chương II. Văn học thế kỉ X- thế kỉ XIV Chương III. Văn học thế kỉ XV- thế kie XVII Chương
Sách - Combo Hóa Học Vô Cơ Cơ Bản Tập 1 + Bài Tập Lí Thuyết Đại Cương Về Hóa Học (DN) Gồm 2 cuốn : Hóa Học Vô Cơ Cơ Bản Tập 1 Lí
Tên sách: Bài tập Hoá học vô cơ, Quyển III, Hoá học các nguyên tố - A. Nguyên tố tiêu biểu, B. Kim loại chuyển tiếp Tác giả: Hoàng Nhâm, Hoàng Nhuận Ngữ xuất bản:
Tên sách: Cơ Sở Lí Thuyết Các Phản Ứng Hóa Học Tác giả: Trần Thị Đà – Đặng Trần Phách Loại bìa: Bìa mềm Số trang: 504 Khổ sách: 19 x 27cm Năm xuất bản:
Tên sách: Lịch sử thế giới cận đại Tác giả: Vũ Dương Ninh, Nguyễn Văn Hồng Số trang: 564 Khổ sách: 16 x 24 Hình thức xuất bản: Tái bản Năm tái bản: 2024 Nhà
Giáo Trình Kỹ Thuật Lập Trình C Cơ Sở Và Nâng Cao Giáo trình kỹ thuật lập trình C căn bản và nâng cao được hình thành qua nhiều năm giảng dạy của các tác
Sách - Combo: Toán Cao Cấp Và Bài Tập Toán Cao Cấp Tập 1 - Đại Số Và Hình Học Giải Tích Tác giả: Nhiều tác giả Nhà xuất bản: Nhà xuất bản Giáo dục
Tên đề tài: Sách - Combo Toán Cao Cấp Tập 1 + Bài Tập - Đại Số Và Hình Học Giải Tích Tác giả Nguyễn Đình Trí (Chủ biên)- Trần Việt Dũng- Trần Xuân Hiển-
Nội dung gồm có: Chương I. Chuỗi Chương II. Phương trình vi phân Chương III. Giải bài toán Cauchy đối với phương trình vi phân tuyến tính với hệ số không đổi bằng phép biến
Sách - Combo: Toán Học Cao Cấp Và Bài Tập Toán Cao Cấp Tập 3 - Phép Tính Giải Tích Nhiều Biến Số Tác giả: Nhiều tác giả Nhà xuất bản: Nhà xuất bản Giáo
Tên sách: Bài tập Toán học cao cấp Tập hai - Giải tích Tác giả: . Nguyễn Đình Trí (Chủ biên) - . Trần Việt Dũng - . Trần Xuân Hiển - . Nguyễn Xuân
Tên sách: Toán học cao cấp Tập hai: Giải tích Tác giả: ễn Đình Trí (Chủ biên) - . Trần Việt Dũng - . Trần Xuân Hiển - . Nguyễn Xuân Thảo Số trang: 424
Tên đề tài: Lịch sử thế giới hiện đại Tác giả: Nguyễn Anh Thái (Chủ biên), Đỗ Thanh Bình, Nguyễn Quốc Hùng, Vũ Ngọc Oanh, Đặng Thanh Toán, Trần Thị Vinh Khổ sách: 16 x
Thông tin sản phẩm Tên đề tài: Lịch sử văn minh thế giới Tác giả: Nguyễn Văn Ánh Khổ sách: 16 x 24 cm Số trang: 468 trang Năm tái bản: 2022 Nhà xuất bản:
Sách - Combo: Toán Học Cao Cấp Và Bài Tập Toán Cao Cấp Tập 2 - Phép Tính Giải Tích Một Biến Số Tác giả: Nhiều tác giả Nhà xuất bản: Nhà xuất bản Giáo
Sách - Xác suất thống kê - Dành cho sinh viên các trường kỹ thuật và công nghệ Tác giả: PGS. TS. Tô Văn Ban Nhà xuất bản: Nhà Xuất Bản Giáo Dục Việt Nam
Tác giả: Hoàng Nhầm Nhà xuất bản: Nhà Xuất Bản Giáo Dục Việt Nam Ngày xuất bản: 2025 Số trang : 328 Kích thước 19 x 27 cm Loại bìa: Mềm =========================================== Nội dung :
Một nền văn học rực rỡ kéo dài gần nghìn năm – nay được hệ thống hóa và trình bày trong một công trình giáo trình bài bản, hiện đại và đầy đủ nội dung.
Tên sách: Vật lý đại cương tập 3 - Bài tập Vật lý đại cương tập 3 Tác giả: Lương Duyên Bình (Chủ biên) Khổ sách: 14.5 x 20.5 Số trang: 472 Nhà xuất bản:
Nội dung gồm có: Phần một. Cấu tạo từ Phần hai. Từ loại tiếng Việt Phần ba. Cụm từ Chương I. Khái quát về cũng từ Chương II. Cụm danh từ Chương III. Cụm động
Tác giả : Hoàng Nhâm Nhà xuất bản: Nhà Xuất Bản Giáo Dục Việt Nam Ngày xuất bản: 2025 Số trang: 292 Kích thước: 19 x 27 cm Loại bìa: Mềm =================================== Nội dung :
Tên sách: Vật lí đại cương tập 2 - Bài tập Vật lí đại cương tập 2 ( Điện dao động sóng) Tác giả: Lương Duyên Bình Khổ sách: 14.5 x 20.5 cm Số trang:
Công ty Học Liệu Sư Phạm giới thiệu: Tác giả : Nhiều tác giả Nhà xuất bản: Nhà Xuất Bản Giáo Dục Việt Nam Ngày xuất bản: 2025 Số trang: 276 Kích thước: 19 x
Combo Giáo Trình Quản Trị Học + Quản Trị Học (Bộ 2 Cuốn) Với mong muốn có được một cuốn giáo trình giảng dạy Quản trị học, nhóm tác giả đã biên soạn cuốn Giáo Trình
Giáo trình Hoá học Vô cơ này đã được viết và giảng dạy từ những năm 50 của thế kỷ trước cho sinh viên khoa Hoá học trường Đại học Tổng hợp Hà Nội trước
Thị trường chứng khoán là một bộ phận không thể thiếu trong điều kiện nền kinh tế thị trường. Từ khi thành lập đến nay, thị trường chứng khoán Việt Nam đã đạt được nhiều
Nhằm đáp ứng yêu cầu nâng cao kiến thức về hóa học hữu cơ ở bậc đại học, chúng tôi biên soạn giáo trình Hóa học Hữu cơ gồm hai tập, mỗi tập
Mô phỏng số và điều khiển các hệ cơ học được viết nhằm phục vụ trực tiếp cho học viên cao học chuyên ngành Cơ học Kỹ thuật và Cơ Điện tử. Các phần của
Chúng tôi biên soạn cuốn Giáo trình bệnh học trẻ em nhằm đáp ứng nhu cầu của sinh viên đại học ngành Giáo dục Mầm non hiện nay. Nội dung giáo trình cung cấp
Tên sách: Phong cách học tiếng việt Tác giả: Đinh Trọng Lạc (Chủ biên), Nguyễn Thái Hoà Khổ sách: 14.5 x 20.5 Số trang: 320 Năm tái bản: 2022 Đơn vị in phát hành: Công ty CP Sách Đại học -
Sách Giáo Trình Cơ Sở Mỹ Thuật Dành Cho Sinh Viên Kiến Trúc Tập 3 nhà xuất bản : xây dựng nhà phát hành : nhà xuất bản xây dựng năm xuất bản : 2021
Nội dung cuốn sách "Giáo Trình Lịch Sử Nghệ Thuật - Tập 1" bao gồm những chương mục sau đây: - Chương 1: Nghệ thuật là gì và ngôn ngữ nghệ thuật. - Chương 2:
Thông thường, giữa lý thuyết và bài tập của một môn học bao giờ cũng được gắn kết chặt chẽ với nhau. Để làm được các dạng bài tập, người học cần hiểu kỹ lý
Cấu tạo kiến trúc là môn học nghiên cứu các bộ phận tạo thành ngôi nhà từ móng đến mái, từ đó biết được vị trí, tác dụng, hình dạng, kích thước, liên kết giữa
Nội dung gồm có: 1. Chuỗi 2. Phương trình vi phân 3. Giải bài toán Cauchy đối với phương trình vi phân tuyến tính với hệ số không đổi bằng phép biến đổi Laplace
Nội dung gồm có: Chương 1: Văn học, hình thái ý thức xã hội thẩm mĩ Chương 2: Văn học với hiện thực đời sống Chương 3: Ý thức xã hội trong văn học Chương
Giới thiệu những vấn đề chung của tâm lý học quản lý. Trình bày tâm lý học trong công tác quản lý cá nhân và quản lý tập thể, đồng thời phân tích nhân cách
Nội dung gồm: Chương I: Tập hợp và ánh xạ. Chương II: Cấu trúc đại số - số phức - đa thức và phân thức hữu tỉ. Chương III: Ma trận - định thức -
Sách: Động Vật Học Không Xương Sống TÁC GIẢ: Thái Trần Bái ĐƠN VỊ PHÁT HÀNH: Công ty Cổ phần Sách Đại học - Dạy nghề NXB: NXB Giáo dục Việt Nam Cấu trúc nội
Cung cấp những kiến thức cơ bản về thực trạng, các khái niệm liên quan, hình thức, yếu tố ảnh hưởng và hậu quả của bạo lực học đường. Vận dụng một số lý thuyết,
Có những nghịch lý trong hệ thống giáo dục hiện nay buộc các nhà giáo dục học phải suy nghĩ: Trong suốt cuộc đời đi học, từ lớp vỡ lòng đến hết bậc đại học
Bộ giáo trình lý luận chính trị gồm 5 cuốn dành cho bậc đại học hệ không chuyên lý luận chính trị. Bộ sách là tài liệu giảng dạy, học tập cho giảng viên, sinh
Nội dung: Chương 1: Phổ hấp thụ hồng ngoại và phổ tán xạ Raman Chương 2: Các phép đối xứng phân tử và nhóm đối xứng Chương 3: Xác định các kiểu dao động phân
Bài tập Lí thuyết Module - NXB Đại học Sư phạm Tác giả: Dương Quốc Việt (CB) – Lê Văn Đính – Đặng Đình Hanh – Đào Ngọc Minh – Nguyễn Công Minh – Trương
Giáo Trình C++ Và Lập Trình Hướng Đối Tượng Lập trình cấu trúc là phương pháp tổ chức, phân chia chương trình thành các hàm, thủ tục. Chúng được dùng để xử lý dữ liệu
Big Data - Công Nghệ Cốt Lõi Trong Kỷ Nguyên Số Khi thuật ngữ dữ liệu lớn lần đầu xuất hiện, tác giả các cuốn sách bán chạy nhất Thomas Davenport (Competing on Analytics, Analytics
👁️ 1110 | ⌚2025-09-29 16:21:08.330
Bài tập 1-2 Chương 1 Toán cao cấp 2 EPU
Giải tích 6.4 PTVP Cấp 1: Phương trình Vi phân tách biến và 3 dạng quy về tách biến
Phương trình vi phân tuyến tính và Bernoulli
Phương trình vi phân có biến phân li và phương trình vi phân đẳng cấp
Giải tích 6.2 PTVP Cấp 1: Phương trình Vi phân Toàn phần - Phần 1
Giải tích 6.1 Nghiệm tổng quát và Tích phân tổng quát của phương trình vi phân

Bài tập 1-2 Chương 1 Toán cao cấp 2 EPU
Giải tích 6.4 PTVP Cấp 1: Phương trình Vi phân tách biến và 3 dạng quy về tách biến
Phương trình vi phân tuyến tính và Bernoulli
Phương trình vi phân có biến phân li và phương trình vi phân đẳng cấp
Giải tích 6.2 PTVP Cấp 1: Phương trình Vi phân Toàn phần - Phần 1
Giải tích 6.1 Nghiệm tổng quát và Tích phân tổng quát của phương trình vi phân

+ CHI TIẾT - 100% da bò tự nhiên - Chất liệu: Da bò Pebbled mềm mại - Màu da: Vàng cam - Kiểu dáng: Đứng – Gập 2 - Khóa kéo: Không - Kích
4P's có nghĩa "For Peace" - cho Hòa Bình tràn ngập trên toàn thế giới. Tham vọng ở Pizza 4P's không chỉ đơn giản là "Một nhà hàng Pizza tuyệt vời" mà chúng tôi có
Le Monde Steak là hệ thống Bít Tết theo phong cách thành thị Pháp đầu tiên tại Việt Nam, nơi thực khách tự do trải nghiệm những món ăn mang hương vị Pháp đầy lôi
Sôi nổi, phóng khoáng, vui nhộn chính là tinh thần mà Yakimono – Quán thịt nướng Nhật Bản muốn mang đến cho bạn. Trái ngược với khung cảnh yên bình bên ngoài, chỉ cần đẩy
Hoa Yêu Thương là bông hoa được ghép từ nhiều trái tim với mong muốn kêu gọi mọi người hãy chia sẻ yêu thương nhiều hơn. Cuộc sống sẽ tốt hơn rất nhiều nếu chúng
Gyu-Kaku nhập thịt tươi và cắt từng lát một tại nhà hàng để đảm bảo độ tươi ngon. Nước tương và miso truyền thống Nhật Bản chúng tôi dùng cho sốt và ướp thịt kĩ
Hạn sử dụng: 2025-12-31 00:00:00 Potico là điện hoa chuyên cung cấp bó hoa yêu thương và quà tặng ý nghĩa hàng đầu tại Việt Nam. Potico luôn miễn phí giao hàng trong khu vực
Nếu bạn là người Hàn Quốc sinh sống hoặc làm việc xa nhà, bạn nên ghé qua Butoomac để cảm nhận hương vị quê hương. Đây là những nhà hàng rất nổi tiếng ở Hà
Ra mắt thương hiệu tại Hà Nội với cơ sở đầu tiên Hàng Bông vào năm 2016, hiện nay, Don Chicken đã có 14 cửa hàng tại Hà Nội, Quảng Ninh, Bắc Ninh, Thanh Hóa
MIYEN - Nét chấm phá Nhật Bản tinh tế đầy duy mỹ. Miyen Japanese Fusion Cuisine mong muốn đem đến cho Quý Thực khách trải nghiệm bầu không khí giao thời của một đất nước
Với phương châm: “Nơi ẩm thực Hồng Kông được tôn vinh và chăm chút. Chúng tôi mang đến quý khách sự trải nghiệm tuyệt đối từ vị giác đến văn hóa ẩm thực”. Baoz Dimsum
A Mà Kitchen - Stay Vietnam, Taste HongKong Trở về Hồng Kông 40 năm trước, A Mà - Bà Nội của một gia đình Trung Hoa là người luôn tận tụy chăm lo từng bữa
Thương hiệu bánh donut thơm ngon, và những ly cà phê đậm đà, mang đến không gian thân thiện để kết nối mọi người. CRISPY DONUTS luôn cập nhật hương vị mới, đảm bảo mỗi
Đến Hệ thống tiNiWorld, các bậc phụ huynh hoàn toàn có thể yên tâm vì con yêu của mình được bảo vệ an toàn nhất. Tất cả các thiết bị đồ chơi tại đây đều
BORNGA VIỆT NAM: Là chi nhánh thuộc thương hiệu và chuỗi hệ thống nhà hàng nổi tiếng toàn cầu Bornga, Bornga Việt Nam hân hạnh phục vụ những món ăn mang đậm nét truyền thống
Otoké Chicken tự hào là thương hiệu gà rán của Việt Nam - được đầu tư và quản lý bởi Quỹ đầu tư VI (VIGroup) – một công ty quản lý quỹ chuyên nghiệp, chuyên
Với sự ra đời của cửa hàng đầu tiên tại Việt Nam vào năm 2007, chuỗi cửa hàng TOUS les JOURS khẳng định vị trí dẫn đầu trong phân khúc cao cấp bánh và cà
Bạn đang lên kế hoạch cho một bữa tiệc ấm cúng, một buổi hẹn hò hay một buổi liên hoan cuối năm? Đừng bỏ lỡ voucher tiền mặt từ Ssamjang - Nướng & Cuốn Chợ
Shang Chi - Taiwanese Rotary Hotpot là con tàu trải nghiệm và khám phá thiên đường lẩu Đài Loan đầy màu sắc và đa dạng. Shang Chi cũng là sự giao thoa giữa yếu tố
Không gian rộng rãi và sạch sẽ, nhân viên thân thiện, nhiệt tình chắc chắn là điểm đến lý tưởng cho một cuộc hẹn tại Spicy Box. Đến với Spicy Box bạn sẽ được hóa